sunbet(中国区)官方网站
集团首页
|
English
网站首页
sunbet
院长寄语
sunbet
历任领导
现任领导
机构设置
历史沿革
学院文化
师资队伍
教师概况
教学名师
教授
副教授
讲师
荣休教师
人才培养
本科生教育
研究生教育
质量工程
名师工作室
科学研究
科研概况
研究机构
学术动态
高水平成果
实践教学
实验中心
竞赛活动
创新创业基地
实验室管理
学生天地
学工办
团学组织
学生活动
励学榜样
学生社团
党群工作
组织结构
组织发展
专题学习
组织活动
工会活动
校友之家
校友会
校友动态
校友风采
校友交流
校友联络大使
历届毕业生
网站首页
sunbet要闻
通知公告
sunbet
院长寄语
sunbet
历任领导
现任领导
机构设置
历史沿革
学院文化
师资队伍
教师概况
教学名师
教授
副教授
讲师
荣休教师
人才培养
本科生教育
研究生教育
质量工程
名师工作室
科学研究
科研概况
研究机构
学术动态
高水平成果
实践教学
实验中心
竞赛活动
创新创业基地
实验室管理
学生天地
学工办
团学组织
学生活动
励学榜样
学生社团
党群工作
组织结构
组织发展
专题学习
组织活动
工会活动
校友之家
校友会
校友动态
校友风采
校友交流
校友联络大使
历届毕业生
最新动态
2023-10-30
2023年助学金名单
2023-10-30
2023年国家励志奖学金名单
2023-10-30
2023年国家奖学金名单
2022-11-02
2022年国家励志奖学金
2022-11-02
2022年国家奖学金候选人
2022-11-02
2021年国家励志奖学金
励学榜样
当前位置:
网站首页
->
学生天地
->
励学榜样
->
正文
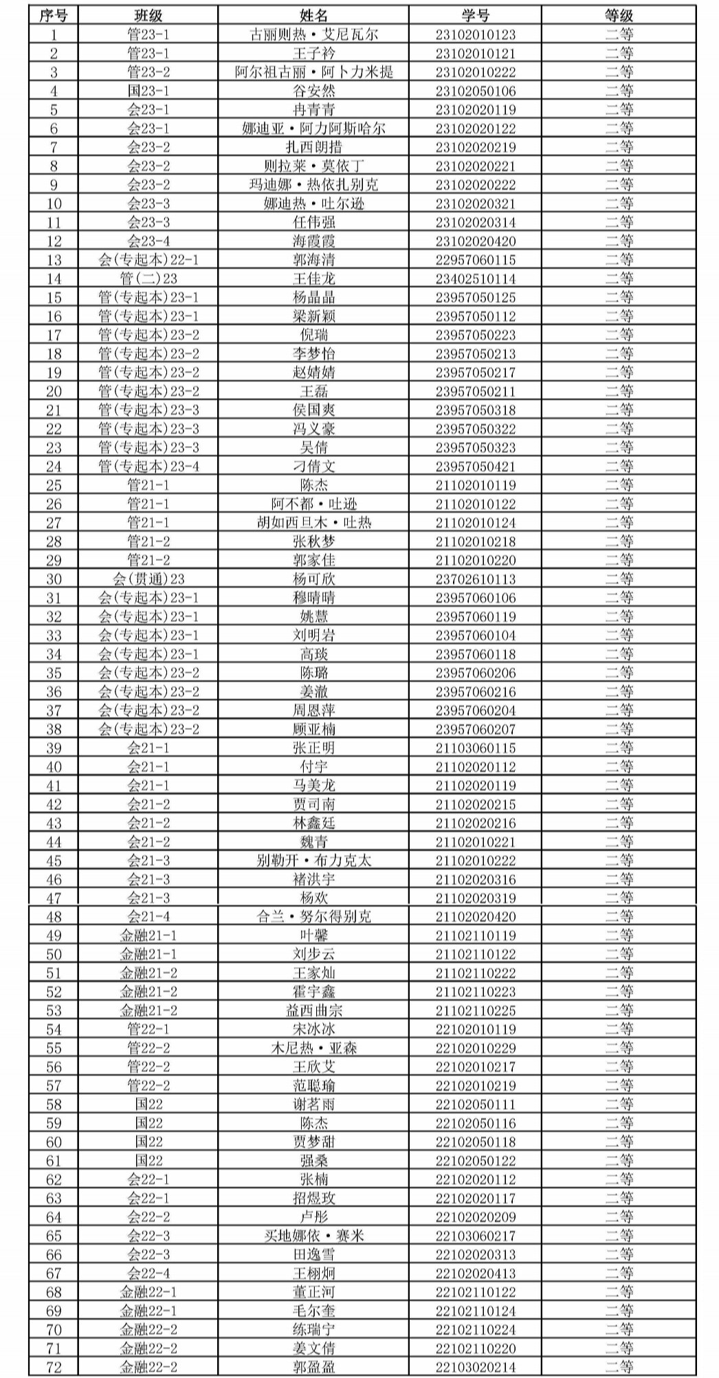
2023年助学金名单
信息来源:
发布日期:2023-10-30
下一条:
2023年国家励志奖学金名单